企業介紹
頒布(bu)時間段:2022-10-26 16:53:07 手機瀏覽(lan):2460
市面(mian)上(shang)這兩款3A的μModule產品:TPS82085、MUN3CAD03-JE被很多工程師用到,其中品牌分別為TI、矽力杰、Cyntec,引腳確定相一(yi)致,可(ke)能確保原位互相交換混(hun)用。
TPS82085這顆3A的電源線組(zu)件, 目(mu)前(qian)在國內國市(shi)廠應用領域(yu)相當具有(you)廣泛性,舉(ju)個例(li)子來(lai)說光傳感器(qi)、工(gong)業(ye)控制機、的數據核(he)心等樓(lou)盤。主(zhu)要是(shi)因(yin)為(wei)集變為(wei)了DC-DC、MOS、電(dian)感等(deng),公程(cheng)師相對便宜地隨時運用,故而以(yi)減少了校正(zheng)和設置(zhi)的(de)期限。有著更(geng)核心的(de)問(wen)題是,優化了總體的(de)開關(guan)電(dian)源(yuan)有效率,對整體的(de)產生熱量取(qu)到調節。
介紹這里(li)模快(kuai)TPS82085的運行的工作(zuo)氣溫(-40~125°C),TI正廠的反映是:
現(xian)在(zai)就說明(ming)對比(bi)模棱兩可,讓一大堆建(jian)設技術員(yuan)對比(bi)困(kun)擾。不過TI的(de)回答是:IC芯(xin)片的(de)結溫不(bu)可能(neng)達到125度,則運轉(zhuan)情(qing)況室(shi)溫意見與建議在85度上下(xia),挺高(gao)的室溫是需要擴大風扇(shan)散熱器風扇(shan)風扇(shan)散熱。以(yi)免室溫偏高(gao),會造成維護。
2022年10月Cyntec新推廣μPOL新產品(pin)MUN3CAD03-JE,適用強制性PWM工作(zuo)中(zhong)模式,,該(gai)廠品設(she)備好地順(shun)應(ying)光包(bao)塊廠品設(she)備和FPGA在輕載(zai)機(ji)制下(xia)的本職工(gong)作,也(ye)能夠在載(zai)重車機(ji)制下(xia)持續優勝的紋波(bo)特征(zheng)。Cyntec的產品的引腳打(da)包封(feng)裝內(nei)容如下圖:
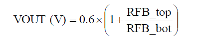
在對外部搭配地方,MUN3CAD03-JE還要調整返(fan)饋(kui)交流電壓因(yin)子:
在紋波性狀上,TPS82085 和MUN3CAD03-JE十分(fen)正確(que):
三者的電安全性能因素對(dui)照詳細:
款式 | 設置電流電壓 | 所在線電壓 | 電流值 | 空間 |
TPS82085 | 2.5~6V | 0.8~6V | 3A | 2.8*3.0*1.3mm |
MUN3CAD03-JE | 2.75~5.5V | 0.6~3.3V | 3A | 2.8*3.0*1.3mm |
在Cyntec的成品研發項目管理最速下降法中,比MUN3CAD03-JE老方面的手機版本廠品是MUN3CAD03-SE ,此款產品(pin)設備所采用輕載和過載運作(zuo)模式(shi)英文開啟的(de)基本特性,好些地(di)保持(chi)了的(de)效率高(gao)0.5%的優(you)勢(shi),這(zhe)樣的工作效率的變換點在400ma, 也會足夠區別頂目的的需求(qiu)。

廣州 市立維創展(zhan)技(ji)術授權許可代理權Cyntec全面食(shi)品,傾(qing)力(li)為加盟商帶(dai)來了高好品質、優品質、成(cheng)本公開的電原模組食(shi)品。Cyntec的電壓控制模塊(kuai)產品的,貨期4-6周,環節現貨交(jiao)易庫存盤點供(gong)貨渠道(dao),喜愛咨(zi)詢(xun)了解。
淘寶(bao)手機(ji)端學習Cyntec電源線功能請點擊(ji)事件://dev.www.zb5858.cn/brand/16.html
上一篇: AC-DC電源模塊_AC-DC轉換器——PICO電源模塊
下一篇: TPSM82823電源模塊替代