企業資訊、短視頻軟件
推出(chu)用時:2022-05-16 16:53:10 閱覽:2115
MUN12AD03-SEC高質量DC/DC電壓方案測評板在根據功率達3A時組成+5.0V打印輸出端電壓。mun12AD03SEC按鈕開關頻繁為1MHZ,用到所具備的模組可實行達91%的的效率。
電器規范標準:
Parameters | Symbol | Value | Unit |
Input Voltage Rang | VIN | 4.5~17 | V |
Output Voltage | VOUT | 1.0~5.0 | V |
Output Current | IOUT | 3 | A |
風險評估板使用率:

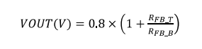
模組的(de)內部有0.8V+1.5%的(de)參考選取(qu)(qu)電(dian)(dian)流(liu)(liu)(liu)電(dian)(dian)壓(ya)阻流(liu)(liu)(liu),內容輸出電(dian)(dian)流(liu)(liu)(liu)電(dian)(dian)壓(ya)阻流(liu)(liu)(liu)可(ke)靈活運用分壓(ya)阻阻器(RFBT和RFB)去c語言編(bian)程(cheng)。讀取(qu)(qu)工作電(dian)(dian)壓(ya)可(ke)借(jie)助方(fang)程(cheng)組式1計算(suan)方(fang)式,功率電(dian)(dian)阻器的(de)取(qu)(qu)舍(she)可(ke)決(jue)定性表1:
可能TI 火熱參(can)數TPS82130、TPSM82813、TPS82140大表面積欠料情況,大多企業客戶遭遇超低價調貨,而Cyntec電源線的MUN12AD03-SEC能原位P2P 換用。完美無缺滿足TPS82130、TPSM82813、TPS82140缺貨環境,有時候立維創展賦予很大MUN12AD03-SEC外盤生產商。
北京市(shi)立維(wei)創展(zhan)現代(dai)科(ke)技授權(quan)使用(yong)一級代(dai)理Cyntec旅游線好企(qi)業(ye)護膚品,全力為合(he)作(zuo)方展(zhan)示 高品格(ge)、優(you)質化量、費用(yong)辦(ban)理公證的電源開關組件好企(qi)業(ye)護膚品。好企(qi)業(ye)護膚品原裝機(ji)原機(ji),質確(que)定,并(bing)給(gei)中華中國(guo)內(nei)地(di)專業(ye)市(shi)場作(zuo)為技術水平的支持,歡迎語(yu)了解。