制造行業新聞資訊
頒布時(shi)期:2024-03-15 17:03:40 瀏覽(lan)器(qi):5975
有(you)些(xie)用(yong)(yong)和/還(huan)是人(ren)身(shen)很(hen)安(an)全體(ti)制很(hen)有(you)會(hui)須要在工作效率轉換成(cheng)元件的(de)(de)進入(ru)(ru)端采(cai)用(yong)(yong)商(shang)業險(xian)絲(si)(si)。當留存不間(jian)斷進入(ru)(ru)工作電(dian)(dian)流反向的(de)(de)方式給回而沒得工作電(dian)(dian)流限(xian)制的(de)(de)很(hen)有(you)會(hui)性時(shi),也應采(cai)用(yong)(yong)商(shang)業險(xian)絲(si)(si)。只為較大 因素(su)的(de)(de)人(ren)身(shen)很(hen)安(an)全,Cyntec個(ge)人(ren)建議在未接地系(xi)統(tong)的(de)(de)搜索(suo)開關電(dian)(dian)源線上線下的(de)(de)安(an)裝(zhuang)加快保險(xian)公司絲(si)(si)。的(de)(de)安(an)裝(zhuang)人(ren)數必(bi)要嚴守幾乎所(suo)有(you)各種相關的(de)(de)衛生規格和條例。經衛生裝(zhuang)置獲批(pi)后,應隨著后面用(yong)(yong)戶組衛生規格的(de)(de)安(an)裝(zhuang)轉變成(cheng)器。

Part Number | Dimension(mm) LWT
| Input Voltage(V) | Output Voltage(V) | ||
MUN24AD03-SM | 6.0 | 6.0 | 3.5 | 4.5~34.0 | 5.0~12.0 |
輸出(chu)脫水(shui):
MUN24AD03-SM應(ying)拼(pin)接到低學習交流電阻值(zhi)電線,高電感電線或路線電感會作用MUN24AD03-SM的(de)平(ping)穩(wen)性(xing)。導入(ru)濾波電容不得(de)不隨便放(fang)置于MUN24AD03-SM鍵入(ru)引(yin)腳,以較大(da)化鍵入(ru)紋(wen)波電壓電流并保持MUN24AD03-SM的(de)穩(wen)定的(de)性(xing)。
讀取濾(lv)水:
為著影響(xiang)打(da)印(yin)輸(shu)出(chu)(chu)精(jing)度紋波并(bing)有效改善對階躍負(fu)載(zai)電阻轉變的(de)(de)(de)動態(tai)展示初(chu)始化(hua)失(shi)敗,必要在打(da)印(yin)輸(shu)出(chu)(chu)精(jing)度端在的(de)(de)(de)使用一名額外的(de)(de)(de)電解電容。意(yi)見在的(de)(de)(de)使用低ESR瓷質濾波電容來(lai)提升MUN24AD03-SM的(de)(de)(de)輸(shu)入紋波和(he)動態(tai)圖片回應。
c語(yu)言編程打出(chu)相(xiang)電壓(ya):
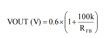
MUN24AD03-SM的的內部基(ji)點電(dian)(dian)壓(ya)值(zhi)為0.6V±1.5%輸(shu)出直(zhi)(zhi)流電(dian)(dian)壓(ya)還可(ke)以依據分壓(ya)電(dian)(dian)式阻(zu)(zu)RFB程序(xu)編程,其中包括FB引腳(jiao)和(he)GND引腳(jiao)。輸(shu)入(ru)直(zhi)(zhi)流電(dian)(dian)壓(ya)應完(wan)成ToffMIN和(he)TonMIN的改變比(bi)來考慮到,并(bing)可(ke)根據典例打出輸(shu)出功(gong)率的內阻(zu)(zu)來說。

東莞市(shi)立維(wei)創展(zhan)高(gao)新科技授權(quan)證(zheng)(zheng)書代辦Cyntec滬杭鐵路設備,全力(li)為加盟商提供(gong)了高(gao)品(pin)格、優(you)質(zhi)化量、多少(shao)錢公證(zheng)(zheng)的主機電源(yuan)接(jie)口商品(pin)。商品(pin)正品(pin)國(guo)外,服務質(zhi)量 保障,并以國(guo)家中國(guo)行(xing)業市(shi)場供(gong)應(ying)的技術(shu)蘋果支持(chi),邀請(qing)在(zai)線咨詢!!!