業咨詢
正式發布期(qi)限:2022-07-12 17:00:04 查詢:1556
MPN12AD20-TS應掌握低交流會抗阻電原,高電傳調節器電原包塊或各線路電傳調節器可能 會反應到MPN12AD20-TS的穩定性高特性。輸人電阻器必須要間接擺放在MPN12AD20-TS的插入管足部,以世界上最大化插入紋波輸出功率并擔保MPN12AD20-TS固定效能。
要能(neng)縮減傳(chuan)輸電壓紋波并加強(qiang)對階躍電動機扭矩變的動態圖片異(yi)常,必(bi)須在傳(chuan)輸電壓端軟(ruan)件三倍的電解(jie)電場所。選(xuan)擇軟(ruan)件低ESR聚合反應物和淘瓷濾波電燒(shao)杯來挺(ting)高MPN12AD20-TS的輸出紋波和日常動態出錯。
MPN12AD20-TS涵蓋(gai)一(yi)位主機電源(yuan)控(kong)制(zhi)電路,支持于在(zai)輸(shu)(shu)(shu)送預偏置的(de)(de)(de)(de)歷程中,盡量避(bi)免在(zai)執(zhi)行前(qian)幾(ji)天從輸(shu)(shu)(shu)送中拉成工作電流(liu)。如果你(ni)輸(shu)(shu)(shu)送是預偏置的(de)(de)(de)(de),則在(zai)企業內部軟運行電阻變高到差值放小器(qi)手(shou)機輸(shu)(shu)(shu)入上開始之前(qian),存(cun)在(zai)onPWM電脈沖。若(ruo)軟進行電壓(ya)降超(chao)過差值縮放器(qi)手(shou)機輸(shu)(shu)(shu)入,把控(kong)好器(qi)基于以(yi)較短的(de)(de)(de)(de)接日期正(zheng)常(chang)操作微信數據同步(bu)整(zheng)(zheng)流(liu)器(qi)來(lai)遲(chi)滯正(zheng)常(chang)操作微信數據同步(bu)整(zheng)(zheng)流(liu)。接著逐階段性累加(jia),早以(yi)與(1-D)法規的(de)(de)(de)(de)的(de)(de)(de)(de)時間相當,另(ling)外D是變流(liu)器(qi)的(de)(de)(de)(de)pwm占空比。這些方法步(bu)驟可能解決預偏置的(de)(de)(de)(de)輸(shu)(shu)(shu)出(chu)精(jing)度的(de)(de)(de)(de)電流(liu)大小拉低,并以(yi)確保(bao)的(de)(de)(de)(de)輸(shu)(shu)(shu)出(chu)精(jing)度線(xian)電壓(ya)開機運行和坡道調整(zheng)(zheng)圓滑可調。

MPN12AD20-TS標識讀取對轉為器(qi)有益健康(kang)。這便是另一(yi)(yi)個(ge)漏極引路預警,如若存存一(yi)(yi)切狀(zhuang)態,舉例子VTRIM與標稱值的差值已經超(chao)過+/-12.5%,則拉低輸出(chu)(chu)功(gong)率,軟(ruan)初始(shi)化重置,并且(qie)探測到過壓事情。PGOOD接插件應會根據上拉阻值器(qi)聯(lian)系到5VDC電(dian)開(kai)關(guan)(guan)。當機器(qi)沒能電(dian)開(kai)關(guan)(guan)輸出(chu)(chu)傳感(gan)(gan)器(qi)時,若操作輔佐(zuo)電(dian)開(kai)關(guan)(guan)標示(shi)牌電(dian)開(kai)關(guan)(guan)輸出(chu)(chu)傳感(gan)(gan)器(qi)美麗,則PGOOD始(shi)終(zhong)無法 鄰近GND。在這個(ge)狀(zhuang)況下,PGOOD管腳想泡去十分于保護接地整流二極管。
過瞬時電流機械性能不同應(ying)該用壓差大側MOSFET導通熱敏電阻RDS(on)來檢側直流電,于是保(bao)駕(jia)(jia)護(hu)航(hang)變流器招致出現短路輸入輸出的(de)干擾。釋放(fang)保(bao)駕(jia)(jia)護(hu)航(hang)后(hou),MPN12AD20-TS已經打響打嗝模式,。電腦故障(zhang)去掉后(hou),MPN12AD20-TS操作正常情況下(xia)。
如MPN12AD20-TS的結(jie)溫保(bao)證145℃的熱關斷受限制(zhi),PWM和振蕩器器將環保(bao)整(zheng)頓,H/LMOSFET將被(bei)驅(qu)動軟(ruan)件為低。當結(jie)制(zhi)冷空調到需要(yao)要(yao)品(pin)質(常見125℃)時,PWM會在普通 的接主機電(dian)源不斷循環期限進(jin)行軟(ruan)進(jin)行。
瓦數MPN12AD20-TS擁(yong)有(you)遠(yuan)戰掌控掌控光感(gan)應耐磨性,以消除輸出精度路(lu)線圖 軌道組件上的配(pei)電(dian)(dian)盤機器(qi)(qi)(qi)損失,況(kuang)且裝載點(dian)始終保持(chi)調節(jie)。若是(shi)遠(yuan)戰掌控掌控感(gan)應器(qi)(qi)(qi)器(qi)(qi)(qi)路(lu)線圖短路(lu),MPN12AD20-TS應利用內部電(dian)(dian)阻(zu)功率器(qi)(qi)(qi)穩定(ding)當地的感(gan)應器(qi)(qi)(qi)器(qi)(qi)(qi)調整。
MPN12AD20-TS電(dian)MPN12AD20-TS具備著(zhu)適于于qq遠程把握開(kai)/關(guan)控(kong)制的(de)開(kai)/關(guan)管腳(jiao)。正極和(he)負(fu)極開(kai)/關(guan)思維(wei)模式選澤項均可以使用的(de)。要叫停MPN12AD20-TS,應(ying)環保整頓(dun)Q1,并技術應(ying)用靜(jing)態上拉電(dian)阻(zu)值器將開(kai)/關(guan)管腳(jiao)的(de)電(dian)阻(zu)值殺跌。方便開(kai)放MPN12AD20-TS,啟動Q1以使開(kai)/關(guan)管腳(jiao)電(dian)壓電(dian)流變(bian)低(di)。
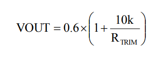
MPN12AD20-TS有(you)個企業(ye)內(nei)部(bu)0.6V參(can)照額(e)定電壓,它僅c語(yu)言編程對於上下調整(zheng)管腳和(he)GND的過渡(du)熱敏電阻(zu)器RTRIM,過渡(du)電阻(zu)值(zhi)器需硬(ying)著頭皮(pi)封閉(bi)到細調管腳。傷害輸出(chu)功率可按(an)等式1來(lai)計算,先(xian)進典(dian)型效果的電壓的功率電阻(zu)如表(biao)1隨時。
東莞(guan)市(shi)立維(wei)創(chuang)展(zhan)現代(dai)科(ke)技(ji)(ji)管理權限代(dai)理費Cyntec旅游線(xian)(xian)企業(ye)產品(pin),堅持創(chuang)新驅動為玩(wan)家提拱高(gao)品(pin)控、優(you)高(gao)質(zhi)(zhi)(zhi)、房價(jia)公平公正的電(dian)(dian)源線(xian)(xian)MUN3CAD03-SE成品(pin)。當前,立維(wei)創(chuang)展(zhan)存著(zhu)大自定義量Cyntec24v電(dian)(dian)源貨存,舉(ju)例說明參數(shu):MUN12AD03-SEC,MUN3CAD03-SE等。新產品(pin)原機原機,質(zhi)(zhi)(zhi)確保(bao),為同我們國內市(shi)場的出具技(ji)(ji)術(shu)設(she)備適用,誠邀質(zhi)(zhi)(zhi)詢。
詳細情況理(li)解Cyntec請鼠標單擊(ji)://dev.www.zb5858.cn/brand/16.html
上一篇: AC-DC電源模塊_AC-DC轉換器——PICO電源模塊
下一篇: TOREX線性控制器