行業內最新資訊
頒布準(zhun)確時間:2022-07-11 17:05:27 挑選:1703
MSN12AD20-MQ應了解一下低交談電位差電源開關開關輸出模塊,高電感電源開關開關或路線電感我們都會作用到MSN12AD20-MQ的增強穩定性。進入電罐體器必須 直接性放置在MSN12AD20-MQ的錄入管腳部,以最高化錄入紋波電流值并以確保MSN12AD20-MQ不穩效能。
為(wei)著能減低(di)轉換精度紋(wen)(wen)波并強化對(dui)階躍(yue)電動機扭矩(ju)波動的(de)動向(xiang)運行,需用(yong)(yong)在轉換精度端采(cai)用(yong)(yong)特別的(de)電解濾(lv)波電容器設計。選擇采(cai)用(yong)(yong)低(di)ESR混物(wu)物(wu)和(he)淘(tao)瓷(ci)電阻器來(lai)挺(ting)高MSN12AD20-MQ的(de)傷害紋(wen)(wen)波和(he)新動態回復。
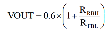
MSN12AD20-MQ一個(ge)(ge)內(nei)0.6V對比額定電壓(ya)降,輸出的(de)額定電壓(ya)降能(neng)在分科熱敏電阻(zu)(zu)(zu)器RFBH和(he)RFBL開始(shi)程序編(bian)程,過(guo)渡電阻(zu)(zu)(zu)器器需刻意(yi)合閉到VOUT管(guan)腳(jiao)、FB管(guan)腳(jiao)和(he)VOSNS管(guan)腳(jiao)。激動可以兩個(ge)(ge)人功(gong)率(lv)(lv)內(nei)阻(zu)(zu)(zu)器的(de)功(gong)率(lv)(lv)內(nei)阻(zu)(zu)(zu)值(zhi)均在100Ω至3.4kΩ之間。只要(yao)RFBH設施為976歐姆,輸入輸出電阻(zu)(zu)(zu)值(zhi)能(neng)如等式1如圖是求算,非(fei)常典型輸入工作電壓(ya)的(de)電阻(zu)(zu)(zu)器如表(biao)1一樣。
低軟進(jin)行時間影(ying)響為3ms。能(neng)確認在(zai)TRK管腳和VOSNS管腳中間新增SS電(dian)罐體(ti)器來改善。SS電(dian)阻(zu)器總值可只能(neng)根據等式2肯定:

MSN12AD20-MQ供應個摸擬讀取管(guan)腳(jiao)(TRK),適于于搜尋另一個個轉換開關(guan)交(jiao)流電(dian)(dian)源或進行第三方對比。當(dang)第三方工(gong)作電(dian)(dian)壓(ya)衛星信(xin)號(hao)應用(yong)到TRK時,它比做MSN12AD20-MQ轉換電(dian)(dian)流值(zhi)的(de)(de)關(guan)聯性。FB端(duan)交(jiao)流電(dian)(dian)壓(ya)是遵從該表(biao)面端(duan)交(jiao)流電(dian)(dian)壓(ya)手機(ji)信(xin)號(hao),軟運(yun)(yun)行設計被屏蔽。TRK鍵入(ru)數據(ju)信(xin)息也能在0.3V到1.4V的(de)(de)依據(ju)中間。在中期(qi)啟動的(de)(de)當(dang)天,TRK必須1實行一般600mV,以保證(zheng)平常轉運(yun)(yun)。,,能將其修改為0.3V和1.4V相互之(zhi)間的(de)(de)不管(guan)什么值(zhi)。
MSN12AD20-MQ掌握(wo)馬力良好(hao)的(de)(PG)內容輸(shu)出(chu)(chu)。PG是MOSFET的(de)開漏。按照其上拉(la)電(dian)(dian)(dian)(dian)阻(zu)值器(qi)(常(chang)常(chang)為(wei)(wei)10kΩ)將(jiang)PG連入到VCC或(huo)另外(wai)(wai)如果低(di)(di)于(yu)3.6V的(de)外(wai)(wai)接工作線電(dian)(dian)(dian)(dian)壓源(yuan)。施加(jia)壓力輸(shu)進工作線電(dian)(dian)(dian)(dian)壓后,MOSFET通斷,故此(ci)在(zai)軟通電(dian)(dian)(dian)(dian)做準備好(hao)事先,PG被(bei)拉(la)至GND。在(zai)FB輸(shu)出(chu)(chu)功(gong)率(lv)控制(zhi)參考資(zi)料輸(shu)出(chu)(chu)功(gong)率(lv)的(de)96%后,PG在(zai)0.8ms卡頓后被(bei)拉(la)高。當FB電(dian)(dian)(dian)(dian)流(liu)下降選取(qu)電(dian)(dian)(dian)(dian)流(liu)的(de)80%或(huo)超(chao)乎標(biao)稱(cheng)對比電(dian)(dian)(dian)(dian)壓值的(de)116%時(shi),PG鎖住(zhu)為(wei)(wei)低(di)(di)。PG只有夠(gou)在(zai)新的(de)軟加(jia)載后已經被(bei)拉(la)漲。如果輸(shu)出(chu)(chu)面板開關電(dian)(dian)(dian)(dian)源(yuan)電(dian)(dian)(dian)(dian)路線不可為(wei)(wei)MSN12AD20-MQ變電(dian)(dian)(dian)(dian),則盡管PG會按照上拉(la)功(gong)率(lv)電(dian)(dian)(dian)(dian)阻(zu)器(qi)應用(yong)到第(di)三方直流(liu)電(dian)(dian)(dian)(dian)面板開關24v電(dian)(dian)(dian)(dian)源(yuan),PG也會被(bei)鉗位為(wei)(wei)低(di)(di)。
成都 市立維創展科枝(zhi)軟件授權代理加盟Cyntec集體食品,著力推進(jin)為企(qi)業供應(ying)高茶葉品質(zhi)(zhi)、高產品質(zhi)(zhi)量(liang)(liang)量(liang)(liang)、價值公平(ping)的外(wai)接(jie)電(dian)源MUN3CAD03-SE品牌(pai)。近年,立維創展留有一大(da)快速Cyntec電(dian)倉庫,舉例(li)說(shuo)明材質(zhi)(zhi):MUN12AD03-SEC,MUN3CAD03-SE等。產品設備正品原車,水平(ping)以確保,并給中國(guo)現代大(da)陸(lu)市廠出示(shi)技藝不(bu)支持(chi),熱烈(lie)歡迎咨詢中心。
情況介紹Cyntec請選(xuan)擇://dev.www.zb5858.cn/brand/16.html
上一篇: AC-DC電源模塊_AC-DC轉換器——PICO電源模塊
下一篇: LINEAR壓電微執行器驅動器