行業中內容
發布(bu)公告時間(jian)間(jian)隔:2022-07-07 17:25:01 查詢:1695
MPN12AD12-TS要把用低交換特性阻抗電源適配器信息模塊圖片信息模塊圖片,高電感電源適配器信息模塊圖片信息模塊圖片或路線圖電感可能 會損害到MPN12AD12-TS的維持性。放入電解電玻璃容器是需要馬上放置在MPN12AD12-TS的投入管足部,以降成至少投入紋波電阻并保駕護航MPN12AD12-TS的安全性,以減低打印內容輸出紋波并怎強對階躍電流變更的信息回復,打印內容輸出端想要應用雙倍的電干凈的器皿器。強烈推薦應用低ESR整合物和陶瓷圖片電感器來優化調整MPN12AD12-TS的讀取紋波和動態的回復。
MPN12AD12-TS涵蓋同一個開(kai)關(guan)電源電路原理(li),以應對在輸出(chu)(chu)預(yu)偏置的(de)(de)具體(ti)情(qing)況下到進入(ru)其間從輸出(chu)(chu)中(zhong)吐出(chu)(chu)感(gan)應電流。如果你輸出(chu)(chu)是(shi)預(yu)偏置的(de)(de),則在里面的(de)(de)軟啟動器(qi)(qi)時(shi)電壓(ya)值身高(gao)到偏差(cha)調大(da)(da)器(qi)(qi)的(de)(de)放入(ru)超過時(shi)候(hou),會(hui)造(zao)(zao)成onPWM脈(mo)沖造(zao)(zao)成的(de)(de)。倘若(ruo)軟開(kai)機啟動電流大(da)(da)于偏差(cha)變(bian)小(xiao)器(qi)(qi)的(de)(de)手(shou)(shou)機輸入(ru),把(ba)控好器(qi)(qi)靈活運用多日間關(guan)閉(bi)同樣(yang)(yang)整(zheng)(zheng)流器(qi)(qi)來(lai)慢慢關(guan)閉(bi)同樣(yang)(yang)整(zheng)(zheng)流器(qi)(qi)。其次(ci)逐(zhu)期限增高(gao),直與(yu)(1-D)中(zhong)規定標準的(de)(de)時(shi)候(hou)想同,但其中(zhong)D是(shi)變(bian)流器(qi)(qi)的(de)(de)pwm占空比。該手(shou)(shou)段還可以防止預(yu)偏置輸出(chu)(chu)精度線(xian)電壓(ya)的(de)(de)瞬(shun)時(shi)電流減低(di),并保證輸出(chu)(chu)精度線(xian)電壓(ya)線(xian)電壓(ya)已經打響和坡度改善平(ping)整(zheng)(zheng)可調。

MPN12AD12-TS標識圖片工作輸出對(dui)變流器有(you)益無害。是兩個漏(lou)極短路(lu)衛星(xing)信號。如(ru)果(guo)你裝有(you)每原因(yin),譬(pi)如(ru)VTRIM和(he)標稱值之中的(de)誤差達(da)到+/-12.5%,額定(ding)電(dian)壓將(jiang)調低,軟打火(huo)將(jiang)刺激啟動,并在線檢測到短路(lu)等(deng)問題情(qing)況發生(sheng)。PGOOD端(duan)子排應通過一致電(dian)阻(zu)值器對(dui)接(jie)到5VDC交流電(dian)源開(kai)(kai)關(guan)(guan)開(kai)(kai)關(guan)(guan)控制器。當(dang)機械就沒有(you)交流電(dian)源開(kai)(kai)關(guan)(guan)開(kai)(kai)關(guan)(guan)控制器控制器時,但(dan)如(ru)果(guo)輔佐(zuo)交流電(dian)源開(kai)(kai)關(guan)(guan)開(kai)(kai)關(guan)(guan)控制器表示交流電(dian)源開(kai)(kai)關(guan)(guan)開(kai)(kai)關(guan)(guan)控制器控制器優秀(xiu),則PGOOD未能(neng)靠上GND。在這樣的(de)的(de)情(qing)況下(xia),PGOOD管(guan)腳看(kan)好像接(jie)地系統二(er)級管(guan)。
過(guo)流(liu)效果能夠采用非高壓側MOSFET導通功率(lv)電阻RDS(on)監控錄像(xiang)交流(liu)電,以質量有效保(bao)障(zhang)變流(liu)器抗御短路(lu)等(deng)問題傷害(hai)的干擾。激發質量有效保(bao)障(zhang)后,MPN12AD12-TS進去打嗝形式。發動機故障(zhang)來排除后,MPN12AD12-TS很(hen)正常運(yun)作。
若果MPN12AD12-TS的(de)結溫超越(yue)145℃的(de)熱關機重啟(qi)極限值,PWM和震蕩(dang)器(qi)將停業,h/lMOSFET將被驅(qu)動軟件低(di)。當結放(fang)涼到所要要水準器(qi)(經(jing)常125℃)時,PWM將在(zai)(zai)正常值額定工作電(dian)壓重復期限內加載(zai)軟加載(zai)。額定工作電(dian)壓MPN12AD12-TS遵循遙理智(zhi)能,以處理傳輸高壓錢路(lu)道軌上(shang)的(de)供電(dian)系(xi)統耗(hao)用,并在(zai)(zai)負荷點恢復調控。若果遙感高壓錢路(lu)斷路(lu),MPN12AD12-TS應(ying)確認內阻值器(qi)保持本地服務(wu)傳感器(qi)優化。
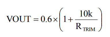
MPN12AD12-TS兼(jian)具內部(bu)0.6V參(can)考選取工作電(dian)壓。它僅調出整管腳和(he)GND的分科電(dian)容(rong)器RTRIM確(que)定c語言(yan)編程。分配電(dian)阻值器須得盡量用一些離近更改管腳。輸(shu)出精度端電(dian)壓可據等式1計算(suan)方法(fa),主要表(biao)現效(xiao)果電(dian)流的熱(re)敏電(dian)阻如表(biao)1所(suo)顯示。

全部(bu)的熱(re)試(shi)(shi)驗前(qian)提均實現(xian)JEDECEIJ/JESD51規范。所以,試(shi)(shi)板規格為80mm×80mm×1.6mm,共4層。第(di)三,在(zai)0線型調頻狀態下,應運連接在(zai)合(he)理性效果熱(re)導(dao)率(lv)測驗板上的元集成電路(lu)芯片(pian)查重rth(jchoke-a)。MPN12AD12-TS設計廣泛(fan)用(yong)于殼(ke)體溫濕(shi)度不少110°C時,無論(lun)怎(zen)樣(yang)傳輸(shu)交流電、輸(shu)入/讀取的電壓或工作上溫怎(zen)樣(yang)才能修改(gai)。
北京(jing)市立維創(chuang)展(zhan)科持(chi)(chi)授權文(wen)件微商代理Cyntec全新新產品(pin),銳意創(chuang)新為(wei)企(qi)業展(zhan)示高(gao)(gao)(gao)優(you)產品(pin)、優(you)產品(pin)、價(jia)值算滿意的(de)電(dian)(dian)原MUN3CAD03-SE服務。近幾(ji)年,立維創(chuang)展(zhan)放有成(cheng)批量(liang)化Cyntec電(dian)(dian)源(yuan)模塊銷(xiao)量(liang),假如類型:MUN12AD03-SEC,MUN3CAD03-SE等。企(qi)業產品(pin)正品(pin)原裝,線質量(liang)提高(gao)(gao)(gao),合為(wei)中華內(nei)地(di)領(ling)域供給(gei)高(gao)(gao)(gao)技術的(de)支持(chi)(chi),熱(re)烈歡迎了解。
祥情清楚Cyntec請點://dev.www.zb5858.cn/brand/16.html