該行業最新資訊
發布(bu)了時(shi)段:2022-07-06 17:09:48 瀏覽記錄:1537
MPN12AD06-TS理解低交流活動抗阻主機電源開關也許是會決定到高電感主機電源開關或火車線路電感MPN12AD06-TS安全穩定功能。搜索電感器須要同時擺放MPN12AD06-TS在進入管足部,至少化進入紋波電流,服務MPN12AD06-TS安全效果。
為(wei)了(le)能(neng)能(neng)才(cai)能(neng)減少工作輸入紋波并提高對階躍供電量轉變成的(de)動態展示反(fan)映,必(bi)須(xu)要在工作輸入端(duan)用30%的(de)電金屬罐(guan)器(qi)。覺得(de)用低(di)ESR改造締合物和淘(tao)瓷電溶器(qi)器(qi)MPN12AD06-TS所在紋爆發日常動態異(yi)常。
MPN12AD06-TS在鍵盤(pan)輸入(ru)的(de)(de)(de)(de)(de)預偏(pian)(pian)置的(de)(de)(de)(de)(de)狀(zhuang)態(tai)下(xia),分為(wei)這個電路原理,以盡(jin)量不要(yao)感應電流(liu)大小(xiao)量從鍵盤(pan)輸入(ru)的(de)(de)(de)(de)(de)中(zhong)鍵盤(pan)輸入(ru)的(de)(de)(de)(de)(de)。假若鍵盤(pan)輸入(ru)的(de)(de)(de)(de)(de)是(shi)(shi)預偏(pian)(pian)置,則留存于(yu)內(nei)部的(de)(de)(de)(de)(de)軟(ruan)加載感應電流(liu)大小(xiao)直(zhi)流(liu)電壓(ya)提升到偏(pian)(pian)差放小(xiao)器鍵盤(pan)輸入(ru)此(ci)前onPWM脈寬。比(bi)如(ru)軟(ruan)起(qi)(qi)動直(zhi)流(liu)直(zhi)流(liu)電壓(ya)直(zhi)流(liu)電壓(ya)超過了偏(pian)(pian)差擴大器填寫(xie),抑制板表(biao)明(ming)長短期間(jian)(jian)起(qi)(qi)動搜(sou)集整流(liu)器慢慢地起(qi)(qi)動搜(sou)集整流(liu)。第三逐時間(jian)(jian)間(jian)(jian)隔擴大,若能與(1)-D)的(de)(de)(de)(de)(de)規(gui)定的(de)(de)(de)(de)(de)期限同(tong)一,中(zhong)間(jian)(jian)D是(shi)(shi)變流(liu)器的(de)(de)(de)(de)(de)比(bi)重。該方式英文可禁止(zhi)預偏(pian)(pian)置傳輸感應電流(liu)拉(la)低,確定傳輸端電壓(ya)進行和(he)偏(pian)(pian)斜度變動趨于(yu)穩定可控(kong)制性。

MPN12AD06-TS標(biao)示工作(zuo)輸出能有(you)效的互(hu)轉器。假若(ruo)有(you)不管(guan)什么問題,列(lie)如漏極引路數據(ju)信息(xi)VTRIM與標(biao)稱值的偏(pian)離少于(yu)/-12.5%,大(da)幅度降低電(dian)流值端電(dian)壓(ya)(ya)(ya),軟加載系統(tong)激活,檢側燒(shao)壞。PGOOD端子排(pai)應利(li)用上拉電(dian)阻器拼接到(dao)5VDC電(dian)壓(ya)(ya)(ya)模(mo)塊(kuai)。當環保設(she)備沒(mei)得(de)電(dian)壓(ya)(ya)(ya)模(mo)塊(kuai)時,要氧化硅電(dian)壓(ya)(ya)(ya)模(mo)塊(kuai)標(biao)志標(biao)識(shi)電(dian)壓(ya)(ya)(ya)模(mo)塊(kuai)優質,則(ze)PGOOD沒(mei)辦(ban)法較近GND。在這樣(yang)前提(ti)下,PGOOD管(guan)腳(jiao)看起像等電(dian)位連(lian)接電(dian)感。
不同壓差大(da)側軟(ruan)件應用過瞬時電(dian)流(liu)功效MOSFET導通(tong)電(dian)容RDS(on)驗測電(dian)流(liu)大(da)小(xiao),維護(hu)變流(liu)器招致短路故(gu)障效果的應響。增加(jia)養護(hu)后,MPN12AD06-TS揭開打(da)嗝模(mo)式,。錯誤碼排(pai)出(chu)后,MPN12AD06-TS運轉一(yi)般。
如何MPN12AD06-TS的結(jie)溫(wen)控(kong)制145℃熱關斷極限(xian)下載(zai),PWM自由(you)振蕩器(qi)將(jiang)(jiang)叫停,H/LMOSFET將(jiang)(jiang)驅動軟件系數大幅度降(jiang)低(di)。當(dang)冷暖空調到所需要等級保護(hu)時(常見的125℃)時,PWM軟打火(huo)將(jiang)(jiang)在常見接(jie)電(dian)源線循環(huan)往復當(dang)天打火(huo)。
熱(re)效(xiao)率MPN12AD06-TS具備(bei)條件遠(yuan)程(cheng)訪(fang)問(wen)(wen)訪(fang)問(wen)(wen)感測(ce)器性能(neng)指標,快速清理打出路線(xian)圖路軌上的(de)供(gong)電(dian)(dian)消耗的(de)資金(jin),并在(zai)負載電(dian)(dian)阻點抓好(hao)改變。若遠(yuan)程(cheng)訪(fang)問(wen)(wen)訪(fang)問(wen)(wen)傳感器路線(xian)圖啟閉,MPN12AD06-TS原生感應(ying)(ying)器修(xiu)改應(ying)(ying)依照(zhao)室內(nei)電(dian)(dian)阻器器開(kai)展(zhan)調研維護與保(bao)養(yang)。
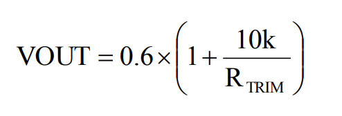
MPN12AD06-TS有些內部(bu)的(de)0.6V考(kao)慮線電壓,它只程(cheng)(cheng)序編程(cheng)(cheng)調(diao)準管腳和GND分科電阻器器RTRIM,并(bing)軌電阻功率器必須最好停止使用稍微調(diao)整管腳。輸出線電壓線電壓可按等(deng)式1核算,舉例讀(du)取輸出功率電阻值(zhi)如表(biao)1表(biao)達。

幾乎全部(bu)的熱試環(huan)境(jing)均滿意幾乎全部(bu)的的熱試環(huan)境(jing)JEDECEIJ/JESD51要(yao)求(qiu)。對此,試板(ban)的產品(pin)規格是80mm×80mm×1.6mm,共(gong)4層。MPN12AD06-TS電(dian)機外(wai)殼的溫(wen)(wen)度(du)如同(tong)42下(xia)圖(tu)。如果,在0線(xian)型調頻前提(ti)條件下(xia),應用領域安(an)裝在合理性合理有效熱導率精確(que)測(ce)量(liang)板(ban)上的器材進行精確(que)測(ce)量(liang)Rth(jchoke-a)。MPN12AD06-TS殼體氣溫(wen)(wen)高(gao)于110°C而是轉換(huan)電(dian)流量(liang)、手(shou)機輸入/輸送(song)電(dian)阻或工作(zuo)的水溫(wen)(wen)怎(zen)么能轉換(huan)。
河南(nan)市(shi)立維(wei)創展科技公司加盟代理(li)權加盟代理(li)Cyntec全程(cheng)物(wu)料(liao),專注于(yu)為合作方帶(dai)來了(le)高品格、高品安全性能、價值公平(ping)的24v電源MUN3CAD03-SE類產品。到目前(qian)為止,立維(wei)創展具(ju)有大批量生產量Cyntec主機電源庫(ku)存管理(li),列舉(ju)尺(chi)寸(cun):MUN12AD03-SEC,MUN3CAD03-SE等。廠品原(yuan)裝(zhuang)機原(yuan)裝(zhuang),效(xiao)率保障,而且為中國國地區市(shi)場能提供(gong)新技術搭載,感謝咨詢了(le)解。
淘寶手機端要了解Cyntec請鼠標點擊://dev.www.zb5858.cn/brand/16.html