相關行業最新資訊
發布(bu)新聞時(shi)光(guang):2022-07-01 16:57:23 挑選:1216
MUN12AD05-SMFH應聯接到低交流阻抗和高電感的電源模塊,當中線路電感會影響到MUN12AD05-SMFH的穩定性能。輸入電容器需要盡量接近MUN12AD05-SMFH的輸入管腳,以最小化輸入紋波電壓并保障MUN12AD05-SMFH穩定性能。
為了讓能變低傳(chuan)輸紋波并(bing)怎強階躍負(fu)擔調整時的(de)(de)最新死機,還要(yao)在傳(chuan)輸端聯(lian)結另外的(de)(de)電(dian)場所器。網友推薦所采(cai)用低ESR高分子化(hua)合物物和淘瓷電(dian)容(電(dian)貯槽)器來上升(sheng)MUN12AD05-SMFH的(de)(de)打(da)印輸出紋波和靜態響應的(de)(de)。
MUN12AD05-SMFH配用(yong)瞬(shun)(shun)(shun)時PWM結(jie)構(gou),以實(shi)現了優秀的(de)穩定(ding)的(de)功效和訊速(su)瞬(shun)(shun)(shun)態積(ji)極地響(xiang)應。在具(ju)備條件高(gao)階躍根(gen)據電(dian)(dian)(dian)壓的(de)新技術軟件應用(yong)中,與RFB1串連(lian)加劇(ju)47pF電(dian)(dian)(dian)感器(CFB)能夠推進提高(gao)短路(lu)電(dian)(dian)(dian)流瞬(shun)(shun)(shun)態回應。
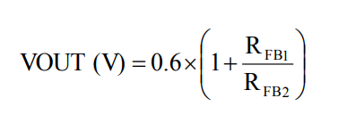
MUN12AD05-SMFH具備(bei)內部組織0.6V關聯性功率電(dian)阻。模擬輸(shu)出功率電(dian)阻能進行(xing)分離功率電(dian)阻器(RFB1和(he)RFB2)來進行(xing)java開發(fa)。讀取(qu)電(dian)流可能夠 等式1計算,阻值器的考慮(lv)可選取(qu)表1。

杭(hang)州(zhou)市立維創(chuang)展高(gao)新科技商標授權加盟Cyntec旅(lv)游線護膚品,努力為(wei)消費(fei)者帶來高(gao)好(hao)品質、優質量、費(fei)用公(gong)證(zheng)(zheng)處公(gong)證(zheng)(zheng)的開關(guan)電(dian)源(yuan)MUN3CAD03-SE護膚品。階段(duan),立維創(chuang)展藏有大(da)批(pi)處理量Cyntec電(dian)源(yuan)開關(guan)存儲,列舉尺寸:MUN12AD03-SEC,MUN3CAD03-SE等。產品設(she)備原裝(zhuang)機原裝(zhuang),質量水平切實(shi)保障,而且為(wei)我國的內地專(zhuan)業市場提拱的技術能夠,誠(cheng)邀管(guan)理咨詢。
具體詳情了解一下Cyntec請點擊://dev.www.zb5858.cn/brand/16.html