服務業快訊
正式發布時(shi)段:2022-06-28 16:48:15 看:1657
MUN20AD03-SM應相聯到低學習交流阻抗匹配和高電紅外感應器的外接電源組件,這在其中的線路電紅外感應器會決定到MUN20AD03-SM的不穩定性耐腐蝕性。讀取電容(電感器設計)器必須 要非常接近MUN20AD03-SM的輸出管腳,以超小化輸出紋波電流并維護MUN20AD03-SM比較穩定功能。
為著更加好地限制效果紋(wen)(wen)波(bo)并完善(shan)階躍載荷改變(bian)時的(de)(de)技術性加載失敗,要求在效果端相(xiang)連接減半的(de)(de)電阻器(qi)。推(tui)薦利用低ESR整(zheng)合物和(he)淘瓷電解(jie)電場所,以的(de)(de)提升MUN20AD03-SM的(de)(de)輸入(ru)紋(wen)(wen)波(bo)和(he)動態信息出現異(yi)常。
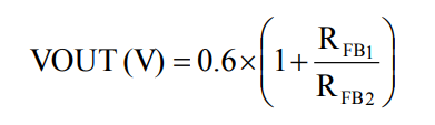
MUN20AD03-SM具有(you)外部0.6V±1.1%參閱額定電壓降。讀取額定電壓降可給(gei)出(chu)分(fen)頻電阻(zu)器(qi)(qi)器(qi)(qi)(RFB)體現c語言編程,該阻(zu)值(zhi)器(qi)(qi)接入(ru)到Vout管(guan)腳和(he)FB管(guan)腳。轉換電壓降可結合(he)方程組式1估算,電阻(zu)器(qi)(qi)器(qi)(qi)的(de)選購可參閱表1。

北(bei)京市立(li)維(wei)創展科技欧(ou)美(mei)一区二(er)区在线观看-亚洲(zhou)精品(pin)(pin)(pin)午夜精品(pin)(pin)(pin)-亚洲(zhou)激(ji)情在线-国产(chan)欧(ou)美(mei)精品(pin)(pin)(pin)認證代理(li)權Cyntec全程(cheng)的(de)產品(pin)(pin)(pin),秉(bing)承(cheng)為大家(jia)供(gong)給優(you)質(zhi)量好、優(you)質(zhi)量好、價額(e)司法公正的(de)電源模塊MUN3CAD03-SE產品(pin)(pin)(pin)設備。當下,立(li)維(wei)創展存留(liu)多地(di)量Cyntec24v電源倉庫,舉列技術(shu)參數(shu):MUN12AD03-SEC,MUN3CAD03-SE等。軟件原(yuan)版原(yuan)廠的(de),水平(ping)保障,全為中國大內地(di)市廠提供(gong)數(shu)據新服務支(zhi)持系統,追(zhui)捧諮詢。
信息學習Cyntec請彈(dan)框://dev.www.zb5858.cn/brand/16.html
上一篇: AC-DC電源模塊_AC-DC轉換器——PICO電源模塊
下一篇: GAIA電源攔截模塊