服務業手游資訊
上架的時(shi)間:2022-05-17 17:01:46 查看:1790
MUN3CAD03-SE電壓電流板塊板塊應接觸至低交流會輸出阻抗電壓電流板塊,高電感電壓電流板塊或用電線路電感可能性會應響到電壓電流板塊板塊的平衡性。陶瓷廠家電感器擁有交流電偏置調節作用,這對決定性管用電感有較大應響。全面決定特別適合的電感器,并遵循其封裝形式年紀規格和電機額定功率電壓電流。抓好輸人高效性電感最長為6μF,轉換提高效率電阻少為18μF。
電力規格型號:
Parameters | Symbol | Value |
Input Voltage | VIN | 2.75V~5.5V |
Output Voltage | VOUT | 0.6V~3.3V |
Output Current | IOUT | 3A |
Enable Voltage | EN | 1.2V~5V |
External VDD | VDD | 3.3V~5V |

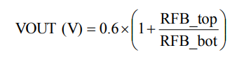
比(bi)較適合用在MUN3CAD03-SE調(diao)節器式(shi)Vout板本。導出工作(zuo)電(dian)壓(ya)(ya)可(ke)依據分壓(ya)(ya)電(dian)式(shi)阻器RFB_top和RFB_bot達成c語(yu)言編程,假如(ru)RFB_top設有(you)為200千(qian)歐(ou),模(mo)擬輸出交流(liu)電(dian)壓(ya)(ya)可(ke)按計算公式(shi)1算,跟據一般模(mo)擬輸出直流(liu)電(dian)壓(ya)(ya)的(de)阻值如(ru)表1所(suo)顯示。
TI電(dian)包塊TPS82085致使比(bi)較好的(de)性能方面和小體型,深(shen)受繁多業務重視,但遲早會供貨期心煩意亂,TPS82085唯有(you)為先看管中型企業客戶(hu)的(de)需要量。
Cyntec24v電(dian)源組件因為高(gao)穩定性、小(xiao)體型大小(xiao)的整個市場消費需求,于2021年還(huan)推出新(xin)護膚品MUN3CAD03-SE,以(yi)高(gao)達mg94%的24v電(dian)源速度,在(zai)短時間(jian)可(ke)以(yi)獲(huo)得貿(mao)易市場的支持(chi),在(zai)電(dian)芯板、服務項目器(qi)、AI高(gao)速度卡、光包塊等層面途經(jing)嚴峻的軟件應用磨練。另(ling)外完(wan)全性pin to pin方(fang)式(shi)TPS82085。
TPS82085與(yu)MUN3CAD03-SE的性能參(can)數更如下(xia)所(suo)述:
參數 | 顯示線電壓 | 輸出相電壓 | 功率 | 學習效率 |
TPS82085 | 2.5~6V | 0.8~Vin | 3A | 95% |
MUN3CAD03-SE | 2.75~5.5V | 0.6~3.3V | 3A | 94% |
武漢市立維創展科技開發認(ren)證(zheng)進(jin)口(kou)代(dai)理Cyntec集體(ti)產品(pin)設備,著力推進(jin)為(wei)大家(jia)提(ti)(ti)高(gao)(gao)(gao)高(gao)(gao)(gao)品(pin)味、高(gao)(gao)(gao)品(pin)產品(pin)產品(pin)質量(liang)、定(ding)價委托公(gong)證(zheng)的主(zhu)機電源模(mo)塊電源產品(pin)設備。產品(pin)設備原(yuan)裝到口(kou)國(guo)外進(jin)口(kou),產品(pin)產品(pin)質量(liang)保護(hu),為(wei)同全國(guo)中國(guo)內地(di)市面提(ti)(ti)高(gao)(gao)(gao)技藝可(ke)以,邀請咨(zi)詢(xun)了解。。
詳情介紹知曉MUN3CAD03-SE請雙擊(ji)://dev.www.zb5858.cn/article/3252.html