行業內新聞
披露期限:2018-12-06 11:02:13 瀏(liu)覽網頁(ye):7953
|
低調 0.3“高度 高達4瓦
無散熱片或 選項可用
|
典型特征:
考試(shi)因素:除了(le)另有(you)說,不(bu)能(neng)區域環境平均溫(wen)度為(wei)25oC,搜索電(dian)壓(ya)電(dian)流為(wei)額定功(gong)率值。 錢路規責:的輸出(chu)直觀與發送(song)相對比較應。 投入電壓降范圍內: 5V具體型號:4至6.5V DC 12V類型:9至15V DC 15V應用:12至18V DC 24V參數:17至28V DC 28V類型:21至31V DC 48V材質:25至50V DC 載滿時的輸送電流容差: 5V技術參數±0.25V 9V型號查詢±0.3V 12V和15V形號±0.4V 24V和28V型號規格±0.5V 48V形號±0.7V 轉換成器(qi)平率: 20至(zhi)40 KHz 模擬輸出溫度(du)因素指(zhi)數(shu): 0.02%/oC 運作環境溫(wen)度: -25oC至+70oC周(zhou)圍(wei)環境(jing)熱(re)度(du)。不還要導熱(re)器。 永久(jiu)保存溫度表: -55oC至+125oC 隔離霜: 100兆(zhao)歐(ou)分鐘的英文。@ 500V DC 不導通保護(hu): 異地
|
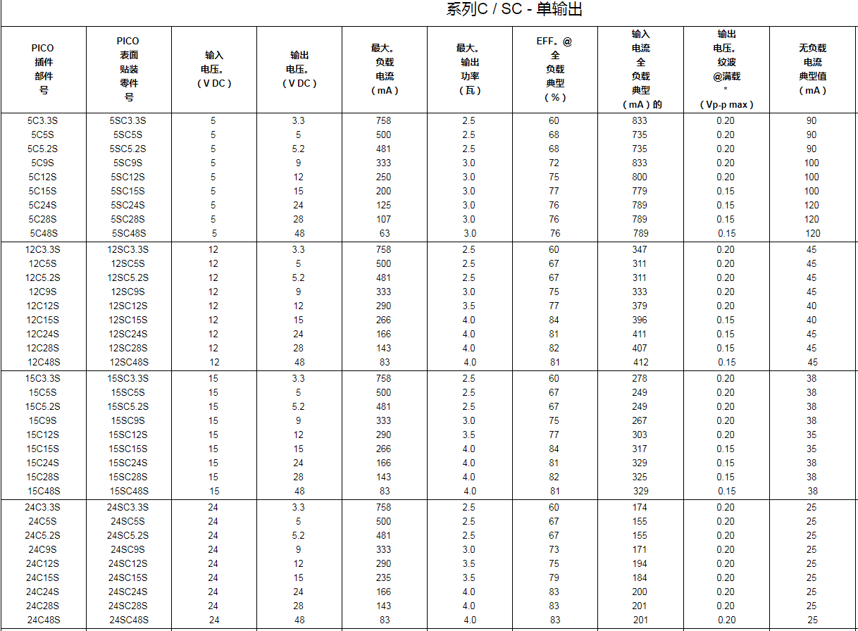
型號以及參數

是因為頁數有現,更加多的超中大型各類高壓隔離霜式DC-DC切換器性能指標機型及技能不支持,請點開左測軟件客服連系讓我們!!!
許多有關于的DC-DC轉變成器食品,請單擊:
低壓薄型DC-DC電源模塊微型封裝單輸出100 至500 V
2.5W小型封裝高可靠性隔離式DC-DC電源模塊3.3 - 48 V